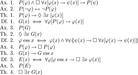
Second Semester Crunch Time 20 Wednesday Jan 2016 Original size at 528 × 286 ≈ Leave a comment Advanced logic equations, January 20, 2016. (http://www.galilean-library.org).